반응형
Notice
Recent Posts
Recent Comments
Link
| 일 | 월 | 화 | 수 | 목 | 금 | 토 |
|---|---|---|---|---|---|---|
| 1 | 2 | 3 | 4 | 5 | 6 | 7 |
| 8 | 9 | 10 | 11 | 12 | 13 | 14 |
| 15 | 16 | 17 | 18 | 19 | 20 | 21 |
| 22 | 23 | 24 | 25 | 26 | 27 | 28 |
Tags
- 모델경량화
- 광고삽입 파이썬
- 딥러닝학습
- 데이터축소
- 프로그래머스 2차원동전뒤집기
- k겹 교차검증
- 프로그래머스 스타수열
- 2차원동전뒤집기
- 메뉴리뉴얼 파이썬
- 프로그래머스 2차원동전뒤집기 파이썬
- 프로그래머스 누적합
- AI경량화
- 인공지능 경진대회
- 확률과우도
- 로지스틱 최대우도
- 자율성장 인공지능
- 비트마스킹
- 프로그래머스
- 딥러닝파라미터
- 프로그래머스광고삽입
- 딥러닝 가중치 갱신
- 인공신경망 학습
- 스타수열 파이썬
- 과적합방지
- 머신러닝 학습 검증
- 카카오 코테 메뉴리뉴얼
- 딥러닝
- 스타수열
- MLE
- 카카오 메뉴리뉴얼
Archives
- Today
- Total
머신러닝 개발자의 러닝머신
벡터 본문
반응형
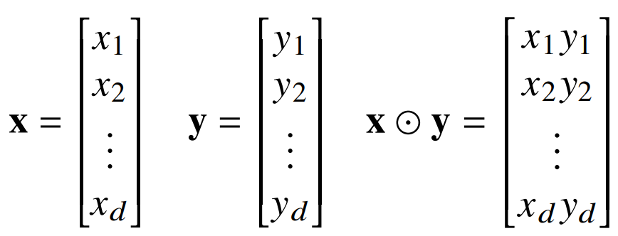
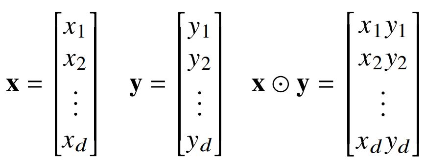
벡터란?
- 벡터는 공간 상의 한 점을 나타내며, 원점으로부터 상대적인 위치(방향을 갖는다)를 의미함
- 숫자를 원소로 가지는 리스트(list) 또는 배열(array)로 나타낼 수 있음
- 벡터끼리 같은 모양(같은 차원, shape)을 가지면 덧셈, 뺄셈, 성분곱을 수행할 수 있음
- 이때, 차원이 다른 벡터끼리의 연산은 불가능-> 딥러닝 연산 시 종종 발생하는 에러, 차원에 주의하자
- 벡터끼리의 곱셈은 성분곱을 의미한다. 같은 위상의 성분끼리 곱셈한 새로운 벡터 생성

벡터의 스칼라 곱
- 양의 스칼라를 곱하면 벡터의 방향은 그대로, 길이만 바뀐다
- 이때, 1보다 작은 양의 스칼라를 곱하면 길이가 감소,
- 1보다 크면 길이가 증가한 형태로 변화한다
- 음의 스칼라를 곱하면 벡터의 방향이 반대로 바뀌고 길이도 바뀐다

벡터의 덧셈과 뺄셈
- 두 벡터의 덧셈과 뺄셈은 다른 벡터로부터 상대적 위치 이동을 의미한다.


벡터의 내적
- 내적은 정사영된 벡터의 길이와 관련이 있는데, 정사영의 길이를 벡터 y의 크기|y| 만큼 조정한 값이다.
- 벡터의 내적은 두 벡터의 유사도의 관점에서 해석할 수 있으며 두 벡터가 이루는 각(theta) 가 클수록 내적값이 작다

반응형
'ML.AI > 선형대수,통계' 카테고리의 다른 글
| [통계/수학] MLE(Maximum Likelihood Estimation, 최대우도법) : "데이터를 가장 잘 설명하는 원래 분포를 찾자" (0) | 2023.07.30 |
|---|---|
| [통계/수학] 주성분 분석, PCA : "기존 정보를 '잘' 유지하면서도 데이터 차원을 단순하게 하자!" (0) | 2023.07.30 |
| 행렬(Matrix) (0) | 2023.04.12 |