반응형
Notice
Recent Posts
Recent Comments
Link
| 일 | 월 | 화 | 수 | 목 | 금 | 토 |
|---|---|---|---|---|---|---|
| 1 | ||||||
| 2 | 3 | 4 | 5 | 6 | 7 | 8 |
| 9 | 10 | 11 | 12 | 13 | 14 | 15 |
| 16 | 17 | 18 | 19 | 20 | 21 | 22 |
| 23 | 24 | 25 | 26 | 27 | 28 | 29 |
| 30 |
Tags
- 로지스틱 최대우도
- 딥러닝파라미터
- 프로그래머스 누적합
- 프로그래머스
- 스타수열
- 카카오 메뉴리뉴얼
- 데이터축소
- 딥러닝
- k겹 교차검증
- 메뉴리뉴얼 파이썬
- AI경량화
- 모델경량화
- 과적합방지
- 자율성장 인공지능
- 카카오 코테 메뉴리뉴얼
- 머신러닝 학습 검증
- 확률과우도
- 광고삽입 파이썬
- 프로그래머스 2차원동전뒤집기
- 프로그래머스광고삽입
- 인공신경망 학습
- 프로그래머스 2차원동전뒤집기 파이썬
- MLE
- 딥러닝 가중치 갱신
- 스타수열 파이썬
- 프로그래머스 스타수열
- 비트마스킹
- 2차원동전뒤집기
- 인공지능 경진대회
- 딥러닝학습
Archives
- Today
- Total
머신러닝 개발자의 러닝머신
행렬(Matrix) 본문
반응형
행렬이란?
- 행렬은 벡터를 원소로 가지는 2차원 배열로, 행벡터를 원소로 가지는 2차원 배열이다.
- 행렬끼리 같은 모양을 가지면 덧셈, 뺄셈, 성분곱 연산을 수행할 수 있다.

전치 행렬
- 전치행렬이란 행과 열의 원소가 서로 바뀐 행렬을 의미한다.
- 행벡터 <-> 열벡터 서로 맞바뀌게 된다.

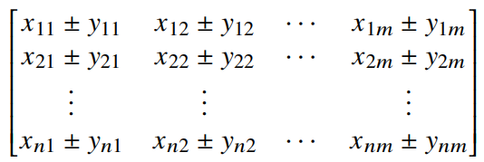
행렬의 곱셈, 뺄셈, 성분곱
- 행렬의 덧셈, 뺄셈, 성분곱 연산은 두 행렬의 모양이 서로 같아야 한다.
- 이때, 연산은 동일한 위치의 원소끼리의 덧셈/뺄셈/곱셈을 수행한 새로운 행렬 연산이 생성된다.
- 연산 전후의 행렬의 모양은 동일하다.


행렬의 곱셈
- 행렬의 곱셈은 각 행벡터와 각 열벡터의 내적을 성분으로 하는 연산을 수행한다.
- X*Y 연산을 수행하기 위해서는 X의 열의 갯수와 Y의 행의 갯수가 같아야 한다.
- 따라서, 행렬의 곱셈 연산 이후 행렬의 모양이 달라지기도 한다.

행렬 곱셈의 의미
- 행렬(matrix)는 벡터공간에서 사용되는 연산자로 이해한다.
- 행렬곱을 통해 벡터를 다른 차원의 공간으로 보낼 수 있다.
- 행렬곱을 통해 패턴을 추출할 수 있고 데이터를 압축할 수도 있다.

행렬의 응용-선형모델링

반응형
'ML.AI > 선형대수,통계' 카테고리의 다른 글
| [통계/수학] MLE(Maximum Likelihood Estimation, 최대우도법) : "데이터를 가장 잘 설명하는 원래 분포를 찾자" (0) | 2023.07.30 |
|---|---|
| [통계/수학] 주성분 분석, PCA : "기존 정보를 '잘' 유지하면서도 데이터 차원을 단순하게 하자!" (0) | 2023.07.30 |
| 벡터 (0) | 2023.04.12 |